São Paulo registra maior número de autuações por falhas na prevenção a acidentes de trabalho
Fonte: Ministério do Trabalho
São Paulo é o estado que registra o maior número de casos de não cumprimento das normas de segurança e saúde do trabalhador. Apresenta 15,54% dos 78.383 verificados pela fiscalização do Ministério do Trabalho em 2017. Ou seja, foram 12.180 autuações a 3.329 estabelecimentos no estado.
Somente nos primeiros quatro meses de 2018 já foram aplicadas 37.336 multas em todo o Brasil a 9.093 unidades visitadas pela inspeção do trabalho. Já em São Paulo foram 5.463 punições por descumprimentos à prevenção de acidentes de trabalho em 1.403 estabelecimentos no mesmo período.
Em segundo lugar, Minas Gerais teve 10.537 autos aplicados em 2.147 empresas no ano passado. Já este ano, foram 4.117 autuações a 791 unidades empresariais. Os dois estados brasileiros são também os que mais geram postos de trabalho formais no País, correspondem a 29,78 % em São Paulo e 10,93% em Minas Gerais, de todos os vínculos trabalhistas no território nacional.
Segundo o ministro do Trabalho, Helton Yomura, a nova equipe da Secretaria de Inspeção do Trabalho (SIT) está priorizando a saúde e segurança do trabalhador. “O foco da nova gestão será a prevenção, com melhorias das ações fiscalizatórias nas áreas de saúde e segurança no trabalho e investimento em qualificação técnica”, observou.
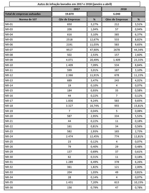
Das autuações, o não cumprimento de exigências do Programa de Controle Médico de Saúde Ocupacional, previsto na Norma Regulamentadora nº 7, é o caso mais frequente registrado pela fiscalização.
A NR-7 estabelece a obrigatoriedade de elaboração e implementação do Programa de Controle Médico de Saúde Ocupacional com o objetivo de promoção e preservação da saúde dos trabalhadores. O programa tem caráter de prevenção, rastreamento e diagnóstico precoce dos agravos à saúde relacionados ao trabalho.
Outros estados que também apresentaram número elevado de autuações em razão de omissão na prevenção a acidentes de trabalho. Em 2017, no Rio Grande do Sul foram 6.995 multas emitidas; Rio de Janeiro, 6.617; Santa Catarina, 5.384; Paraná, 4.959; Bahia, 3.871; Mato Grosso, 3.781; e Goiás, 3.491.


